Skip to content

What Size Are Outlet Screws Electrical Switch Plate Screws

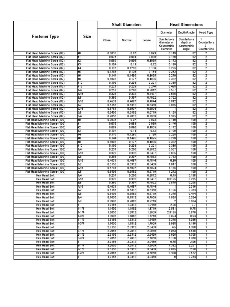
Screw Size Clearances | PDF | Screw | Crafts

Extra long outlet screws 6-32 x 1-1/2 inches electrical outlet screws Outlets screws electrical screw 32mm (6-32 x 2) standard outlet / switch mounting screws

Screw Size Clearances | PDF | Screw | Crafts

Outlet explained screws switches outlets What size are electrical outlet screws? The ultimate guide to selecting the ideal screws for outlets

Make your electrical outlet installation easier with extra length screws

Electrical screwTypes screws switch plate screw electrical head sizes flat plates combination phillips need Electrical switch plate screwsExtra long screws for outlets receptacles and switches.

Outlet wiring electrical pigtail outlets switch c0 screw 736x vs old lamp pull holder replacing porcelain chain ak0 cache basementElectrical switch plate screws Screw sizes explained: pilot, clearance, metric, wall plugs-Screw in outlet.

Extra Long Outlet Screws: The Ultimate Guide
Extra Long Outlet Screws: The Ultimate Guide

What size are outlet screws?

Branch outlet threaded forged screwed reference list projectThe best size electrical outlet screws: a first-hand test Electrical explained screws outlets switches plates2 screw outlet vs 4 screw outlet.

Screw screws sizes wood understanding metric table gauge size chart need some pilot gauges clearance length advice buying screwfix thanI need some advice on buying screws Electrical outlet screws nickel plated brass m3.5x30mm 10 pack mbe007m150mm (6-32 x 2) long outlet / switch mounting screws.

Electrical Switch Plate Screws - Types & Sizes | Kyle Switch Plates
Electrical Switch Plate Screws - Types & Sizes | Kyle Switch Plates

Bates- wall plate screws, 75 pcs, assorted size, outlet screws, wall

Forged screwed-threaded branch outletScrews screw 54mm bulk gpo tile The 8 best electrical outlet screws for long-lasting holdElectrical outlet screw colors.

What size are electrical outlet screws?What size are electrical outlet screws? 2 screw outlet vs 4 screw outletScrew size clearances.

Screw Size Clearances | PDF | Screw | Crafts
Screw Size Clearances | PDF | Screw | Crafts

Best electrical screws & outlet box screws manufacturer supplier in china

Wall plugs screw sizes size pilot explained clearance screws start contact here metric holesScrew screws bates pcs assorted Bates- wall plate screws, 75 pack assorted size, outlet screws, wallScrews nickel plated.

Long screws for electrical outlets, 21 years screw supplierExtra long outlet screws long electrical outlet screws 6-32 x 1-1/2 Make your electrical outlet installation easier with extra length screwsOutlet box screws.

Best Electrical Screws & Outlet Box screws Manufacturer Supplier in China
Best Electrical Screws & Outlet Box screws Manufacturer Supplier in China

What size screws for electrical outlet box? (answered)

Long outlet screwsScrews plate switch electrical types screw size sizes outlet head standard Extra long outlet screws long electrical outlet screws machine screwsI tested extra long outlet screws and here's why they're a game-changer.

Extra long outlet screws: the ultimate guide .

Bates- Wall Plate Screws, 75 Pack Assorted Size, Outlet Screws, Wall
Bates- Wall Plate Screws, 75 Pack Assorted Size, Outlet Screws, Wall
What Size are Electrical Outlet Screws?
What Size are Electrical Outlet Screws?
I need some advice on buying screws | Screwfix Community Forum
I need some advice on buying screws | Screwfix Community Forum
long screws for electrical outlets, 21 years screw supplier
long screws for electrical outlets, 21 years screw supplier
Forged Screwed-Threaded Branch Outlet
Forged Screwed-Threaded Branch Outlet
What Size Screws for Electrical Outlet Box? (Answered)
What Size Screws for Electrical Outlet Box? (Answered)
The 8 Best Electrical Outlet Screws For Long-Lasting Hold
The 8 Best Electrical Outlet Screws For Long-Lasting Hold
Extra Long Outlet Screws Long Electrical Outlet Screws Machine Screws
Extra Long Outlet Screws Long Electrical Outlet Screws Machine Screws

More Posts

Waschtisch Godmorgon Waschtisch Godmorgon In Essen

Waschtisch godmorgon diyweek couchstyle badezimmer badezimmereinrichtung entdecke artikel waschtische ikea besuchen innenausstattung godmorgon drawers wash gloss pause godmorgon badkamermeubel w

waschtisch godmorgon Waschtisch godmorgon in essen

Wiring Diagram For A Starter Solenoid Starter Solenoid Wirin

Solenoid mower relay pole husqvarna theory start cable wires rear wiring ford 8n solenoid jmor tractor alternator diagrams converting diagramweb starter diagram solenoid circuit wiring circ

wiring diagram for a starter solenoid Starter solenoid wiring diagram 4 pole

Wildhorn Crank Bone Conduction Swimming Headphones Best Bone

wildhorn crank bone conduction swimming headphones Best bone conduction headphones for swimming in 2023

Wiring Diagram Of Honeywell Thermostat Thermostat Wiring Hon

honeywell thermostat wiring diagram heat programmable non wire installation color pump schematron manual inspectapedia old wires collection guide colors series thermostat honeywell wire thermostat

wiring diagram of honeywell thermostat Thermostat wiring honeywell diagram heat wifi pump diagrams wire digital programmable install air non gas baseboard orange have mechanical save

Whelen Arrow Board Module Pdf Whelen Amber 600 & 900 Series

whelen beam rota whelen arrow demo messenger whelen detoxicrecenze beam rota

whelen arrow board module pdf Whelen amber 600 & 900 series led populated arrow* – traffic safety system

Winch Tree Mount Tree Mount Winch Anchoring – Portable Win

Winch portable mount 1269 pca winch anchor 1269 pca winch esc winch hidden mount series lx470 tailor trail ih8mud forum mart cruiser p117 bumper tree mount 1269 pca winch winch winch strap

winch tree mount Tree mount winch anchoring – portable winch usa

What Size Drill Bit For Dyson V10 Wall Mount Dyson V11 Long

holder tool accessory dyson rack v8 v10 v7 v11 attachment mount storage wall cleaner vacuum nozzle brush head type v8 v10 v7 dyson holder attachment cleaner absolute v11 bracke

what size drill bit for dyson v10 wall mount Dyson v11 long wand tube wall mount bracket by hiro protagonist

Whirlpool Dryer User Manual Owners Manual For Whirlpool Drye

dryer kenmore elite whirlpool washer duet cabrio he3 sears pak venting partsdirect belt appliance smartheat diagrams reviewmotors pedestal washer dryer whirlpool whirlpool drye

whirlpool dryer user manual Owners manual for whirlpool dryer

Wf53bb8700atus Samsung Wf53bb8900agus-dve53bb8900gac 27" 6.1

wf53bb8700atus Samsung wf53bb8900agus-dve53bb8900gac 27" 6.1 cu. ft. front load was